https://www.acmicpc.net/problem/20953
20953번: 고고학자 예린
예린은 고고학자이다. 예린은 강원대학교 백록관 지하에서 고인돌이 발견되었다는 소식을 듣고 누구보다 빠르게 백록관에 도착하였다. 고인돌을 본 순간 예린은 놀라 자빠질 수밖에 없었다. 고
www.acmicpc.net
쉬운 문제인데 평소에 머리를 워낙 안쓰다시피 하니 끙끙거린다..
이 문제는 처음에 이런 식으로 풀다가 시간 초과 로 인해 통과되지 않는다.
def solution(a, b):
sum = 0
for i in range(a + b):
for j in range (a + b):
for _ in range(j):
sum += 1
return sum
if __name__ == '__main__':
T = int(input())
for _ in range(T):
a, b = map(int, input().split())
print(solution(a, b))
3중 for문을 도니까 시간이 초과해버리는 것
먼저 input으로 받지 말고 sys.stdin.readline 으로 받는 것으로 시작한 후 차근차근 생각해보자. (input()으로 바로 받는게 훨씬 시간이 걸리기 때문)
평소에 머리 안굴리면 누워서 식은 죽 먹듯이 하던 것도 갑자기 생각 안날정도로 머리가 굳어버린다..ㅠ-ㅠ
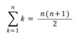
단순 for문의 실행 횟수만을 생각해보자.
for j in range(a+b):
for _ in range(j):
의 실행 횟수를 생각해보면
0번 실행, 1번 실행, 2번 실행, ... , a + b -1 번 실행이므로


(a + b - 1) * (a + b) / 2
가 됨을 알 수 있다.
이걸
for i in range(a+b):
for j in range(a+b):
for _ in range(j):
하면 (a + b) x (a + b - 1) / 2 을 다시 (a + b)번 실행하므로
(a + b) x (a + b) x (a + b -1) / 2 가 된다.
이걸 코드로 실행하면
import sys
if __name__ == '__main__':
T = int(input())
for _ in range(T):
a, b = map(int, sys.stdin.readline().split())
print((a + b)**2*(a + b -1)//2)
다음과 같이 된다. 참 쉽죠..?...ㅠ
평소에 머리 안쓰면 이런 것도 갑자기 뇌정지 온다.. (기가 막히고 코가막혀..)
많이는 아니더라도 진짜 조금씩만 시간 내서 알고리즘 풉시다..
'알고리즘 > 백준 알고리즘' 카테고리의 다른 글
| boj 1003 피보나치 함수 (python) (0) | 2023.03.19 |
|---|---|
| BOJ 2468 "안전 영역" (0) | 2022.10.09 |
| BOJ 1074 "Z" (0) | 2022.09.18 |
| [백준] 파이썬(python), 자바(Java) 10872 (0) | 2020.05.10 |
| [백준] 파이썬 2577 (0) | 2020.01.03 |